最新推荐
- 暂无资料
近日,生命科学学院污染物敏感材料与环境修复安徽省重点实验室/淮北市农产品生物制造重点实验室曾化伟教授团队的2025级硕士研究生方然在国际权威杂志《Food Bioscience》(IF 5.9)上发表题为“Unveiling the molecular mechanisms of dihydromyricetin regulating the biosynthesis of three key secondary metabolites in Monascus purpureus HBSD08 through integrated transcriptomic and metabolomic analyses”的论文。

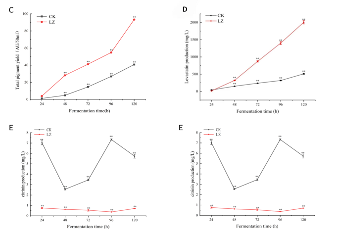
在研究过程中,研究团队首先从多种候选发酵促进剂中筛选出效果最佳的DMY,并优化了相关的发酵工艺。其次研究人员发现,在发酵第5天,DMY处理组(LZ)的总色素产量达到对照组的2.29倍,细胞内ATP含量提升了2.8倍。尤为突出的是,极具市场价值的黄色色素产量提升了惊人的6.05倍;MK的产量达到2006.00 mg/L,是对照组(509.87 mg/L)的3.93倍,远超目前多数文献报道水平;与此同时,CIT的产量降至0.7 mg/L,比对照组降低了8.18倍,成功实现了“增益减害”的目标(见图1)。

图1 CK组和LZ组发酵液中胞外红曲色素(A)、胞内红曲色素(B)、总色素(C)、莫纳可林K(D)、桔霉素(E)5天产率的变化趋势及第五天CK和LZ两者菌体ATP含量(F);**代表同一时间CK和LZ呈现极显著差异
该研究不仅为DMY在红曲发酵工业中的应用提供了扎实的科学依据,也为其他丝状真菌的代谢工程改造提供了新思路——即利用天然小分子进行精细、多维度的代谢调控,同时也为富含二氢杨梅素副产物利用提供新的方向。目前,该团队正在通过基因编辑、酶催化工程等技术进一步验证关键靶点,将有望开发出更高效、更安全的红曲发酵工艺,推动天然产物的绿色制造产业升级。
原文链接:https://doi.org/10.1016/j.fbio.2026.108326

方然,淮北师范大学生命科学学院2025级微生物专业硕士研究生。主要研究方向为微生物高效合成代谢产物的分子调控策略及机制研究,导师为曾化伟教授。硕士期间以第一作者在Food Bioscience期刊发表论文1篇,参与发表SCI收录论文2篇。本科毕业于淮北师范大学生物工程专业,期间获得中国国际大学生创新大赛国赛铜奖、中国大学生生命科学竞赛(科学探究类)国赛铜奖、国家励志奖学金、校创新创业奖学金、校优秀毕业生等多项荣誉。
(文图:方然/审核:曾化伟/审校:张慧君/终审:张铮)
